
FJ3200型個人劑量儀是智能型袖珍儀器。它采用功能較強的單片機技術制作而成。主要用來監測X射線和γ射線。在測量范圍內,可任意設置各種閾值報警值,并發生聲光報警及時提醒工作人員注意安全。該儀器內存大,可存貯約一周的數據。儀器主要技術符合國家標準和國際標準,是目前國內同類儀器
REN500B型智能化х-γ輻射儀是監測各種放射性工作場所х、γ射線輻射劑量率的專用儀器。該儀器具有較大的劑量率測量范圍和能量響應特性。此外通過配套的RenRiRate劑量率管理軟件可將存儲的數據讀出后分析。該儀器廣泛用于衛生、環保、冶金、石油、化工、醫院、加速器、工業探傷
單聯移動式防護屏風
1、規格尺寸: H×W:1800×900 (mm)2、商品描述: 上部鉛有機玻璃的高度為 H×W:240×240 (mm)3、鉛當量: 鉛玻璃0.5mmPb, 下部分鉛當量為0.5mmpb4、外飾材料:碳素鋼板噴
REN300B在線輻射安全報警儀是一種新型的x-γ輻射連續監測報警裝置,它采用特殊設計的前置放大電路,具有靈敏度高、操作方便、自動顯示和超閾值報警等特點,能實時給出xγ輻射劑量率;儀器內置海量數據存儲功能,能存儲10年的歷史數據且標配提供強大的RenLocal輻射監測數據分析軟件。考慮
REN500H輻射防護用X、γ輻射劑量當量(率)儀是監測各種高劑量放射性工作場所的輻射劑量率專用儀器。儀器滿足《環境地表γ輻射劑量率測定規范》中高劑量部分的要求。該儀器除能測高能γ射線外,還能對低能X射線進行準確的測量,具有良好的能量響應特性。此外通過配套的RenRiRate輻射劑量管理軟件可將存儲
一、儀器簡介XH-3206便攜式αβ表面污染測量儀采用閃爍探測法。用來檢測放射性工作場所和實驗室的工作臺面、地板、墻面、手、衣服、鞋等表面受α或β放射性污染的程度。本儀表為液晶顯示小型可攜儀表,儀器顯示測量結果時發出音響訊號。液晶顯示高壓值和電池欠壓提示。電路采用微分測量法,利用脈沖形狀甄別電路,配
2006/9/16 20:50:00
對空情報雷達站電磁環境防護要求
Requirements of electromagnetic enviroment
proteetion for air defense surveillance radar station
1 主題內容與適用范圍
本標準規定了對空情報雷達站對高壓架空輸電線路、變電站、鐵路、汽車公路和工、科、醫射頻設備等電磁輻射的防護要求,并規定了對空情報雷達站和其他無線電業務之間協調的依據。
本標準適用于工作頻率為80~3000MHz頻段內的對空情報雷達站。
2 術語
2.1 對空情報雷達站 air defense surveillance radar station
對空情報雷達站由對空情報雷達、詢問機以及附屬設備等組成,在防空和空中交通管制系統中,用來搜索、監視和識別空中目標,測定其坐標。對空情報雷達一般包括警戒、引導、測高、目標指示、航管雷達等。
2.2 雷達站電磁環境 radar station electromagnetic environment
雷達站周圍,自然和人為的各種電磁輻射在雷達工作頻段內的電磁能量、時間及空間分布的總體。
2.3 最大容許干擾電壓 maximum permitted interference voltage
在不能完全避免有害干擾的條件下,根據干擾防護準則確定的雷達接收機輸入端容許的最大干擾電壓。
2.4 最大容許干擾場強 maximum permitted interference field strengrh
雷達接收機輸入端干擾電壓為最大容許值時,在雷達天線中心高度處的干擾場強。
2.5 雷達站防護間距 radar station protection distance
能滿足干擾防護準則要求的雷達天線與各干擾源之間的最小間隔距離。
2.6 干擾時間 interference duration
雷達接收機輸入端干擾電壓超過最大容許值的持續時間。
2.7 電磁障礙物 electromagnetic obstacle
能對雷達所輻射的高頻電磁波產生遮蔽和干擾影響的設施,統稱電磁障礙物。
3 干擾防護準則
3.1 對空情報雷達在有源干擾不可避免的條件下,容許有不大于5%的探測距離損失。
3.1.1 對白噪聲干擾,雷達接收機輸入端的最大容許干擾電壓為:
(1)
式中:Ujfmax---接收機輸入端最大容許干擾電壓有效值,μV;
Unf---等效到接收機輸入端的系統噪聲電壓有效值,μV。取值見表1。
表1 接收機輸入端等效噪聲電壓
| 頻 率 MHz | 80~300 | 300~3000 |
| Unf μV | 0.77 | 0.85 |
3.1.2 對不同性質的隨機高頻脈沖干擾,在雷達接收機輸入端的最大容許干擾電壓為:
(2)
式中:C -- 相對于白噪聲最大容許干擾電壓的增量系數,取值見表2。
表2 不同性質隨機高頻脈沖干擾的增量系數
| 干擾源 | 高 壓 架 空 輸電線路、變電站 |
電氣化 鐵 路 |
汽車 公路 |
高 頻 熱合機 |
工業 電焊 |
高 頻 理療機 |
高頻爐 |
| C | 3 | 4 | 4 | 4 | 5.4 | 5.4 | 5.4 |
3.1.3 對接收機通頻帶以外的調幅、調頻干擾信號,在雷達接收機輸入端的最大容許干擾電壓。
3.1.3.1 接收機輸入端對通頻帶外鄰頻干擾信號的最大容許干擾電壓為:
(3)
式中:Uip△fmax---接收機通頻帶外的最大容許干擾電壓峰值,dB(μV);
Ujpmax---接收機通頻帶內最大容許干擾電壓峰值,取值見表3;
K△f---干擾信號頻率偏離接收機工作頻率△f時的接收機帶外抑制系數,dB,取值見表4。
表3 接收機通頻帶內最大容許干擾電壓
| 干擾種類 | 調 幅 | 調 頻 | ||
| 頻 段 MHz | 80~300 | 300~3000 | 80~300 | 300~3000 |
| Ujpmax dB(μV) | 6 | 6.9 | 18 | 18.7 |
表4 接收機帶外抑制系數
| 頻偏MHz | K△fdB | |
| 80~300MHz | 300~3000MHz | |
| 0.3 | 10 | —— |
| 0.5 | 20 | —— |
| 1.0 | 50 | —— |
| 1.5 | 63 | 10 |
| 2.0 | 70 | 33 |
| 2.5 | —— | 51 |
| 3.0 | —— | 62 |
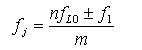
3.1.3.2 干擾信號頻率fj滿足(4)式條件時,在雷達接收機輸入端的干擾電壓應小于85dB(μV)。
(4)
式中:fj---干擾信號頻率,MHz;
n---本振頻率的諧波次數,正整數1,2,3;
fLO---接收機本振頻率,MHz;
fI---接收機中頻頻率,MHz;
m---干擾頻率的諧波次數,正整數1,2,3。
3.1.3.3 如果有兩上或兩個以上的干擾信號同時進入雷達接收機輸入端,其頻率滿足產生二、三階互調干擾條件時,其中一個干擾信號的電壓應低于60dB(μV)。
3.1.3.4 在雷達接收機高放通帶外,干擾信號頻率不滿足(4)式和互調干擾條件時,干擾信號電壓應小于110dB(μV)。
3.2 電磁障礙物對雷達探測距離影響的損失,不超過探測距離的5%。
3.3 一次連接干擾時間不超過10s、兩次干擾的間隔時間不少于10s、每小時累計干擾時間不超過工作時間的5%。
4 防護間距
對空情報雷達站對各種干擾源的防護間距見表5。
表5 防護間距
| 干 擾 源 | 防護間距,km | 備 注 | ||
| 80~300MHz | 300~3000MHz | |||
| 高壓架空 輸電線路 |
500kV | 1.6 | 1.0 | |
| 220~330kV | 1.2 | 0.8 | ||
| 110kV | 1.0 | 0.7 | ||
| 高壓變電站 | 500kV | 3.0 | 1.2 | |
| 220~330kV | 1.6 | 0.8 | ||
| 110kV | 1.4 | 0.7 | ||
| 電氣化鐵路 | 國產機車 | 0.8 | 0.7 | |
| 非電氣化鐵路 | 0.6 | 0.5 | ||
| 汽車公路 | 高速、一級 | 1.0 | 0.7 | |
| 二級 | 0.8 | 0.7 | ||
| 高頻熱合機 | 1.2 | 1.2 | 從廠房算起 | |
| 高頻爐 | P≤100kW | 0.5 | 0.5 | 有屏蔽的廠房, 從廠房算起 |
| 工業電焊 | P≤10kW | 0.5 | 0.5 | |
| 超高頻理療機 | P≤1kW | 1.0 | 1.0 | 從工作間算起 |
| 農用電力設備 | P≤1kW | 0.5 | 0.5 | |
注:a.特殊情況下,按干擾防護準則的要求,參照有關附錄進行測算。
b.雷達對調幅、調頻信號發送設備的防護間距按有關附錄中的方法計算。

產品名稱: REN200型X-γ個人劑量報警儀
產品描述: REN200型X、γ個人劑量報警儀(又叫X、γ輻射個人劑量當量HP(10)監測儀)內置高靈敏度蓋格計數管為探測器,主要用來監測各種放射性工作場所中個人的X、γ以及硬β射線的輻射,具有響應快,測量范圍寬的特點。能顯示工作場所的劑量當量率和累積劑量,更換電池時,日期及累積數據能
產品名稱: REN600A型α、β、γ射線表面污染儀
產品描述: REN600A型α、β、γ射線表面污染儀即可檢測α、β、γ射線,也能檢測到X射線,它采用高速嵌入式微處器作為數據處理單元,點陣式大屏幕LCD液晶顯示,讀數清晰、操作方便,具有800條超大容量數據存儲。儀器采用進口的大面積MICA蓋革探測器,具有較高探測效率,可進行α、β輻射表面污染檢測和X、γ輻射劑
產品名稱: MODEL400型熱釋光個人劑量計
產品描述: 一 特點與用途 氟化鋰鎂銅磷熱釋光探測器具有極高的信噪比,片狀探測器的探測閾僅10-7Gy(約10μrad),線性范圍跨8個數量級,有效原子序數接近空氣和組織,是理想的環境和個人輻射探測器。在低本底輻射場下作劑量監測,優于其他探測器。 &
產品名稱: REN500E型X、γ輻射劑量率儀(手持式)
產品描述: REN500E型X、γ輻射劑量率儀是以內置高靈敏度蓋格計數管為探測器,測量χ、γ和硬β輻射的多功能便攜式劑量率儀。作為輻射巡測儀,能顯示工作場所的劑量當量率和累積劑量,自動連續測量和記錄1600條輻射劑量率數據,更換電池時,日歷、時間及檢測數據能永久
產品名稱: REN-NaI30型高靈敏度閃爍體低量程射線探頭
產品描述: REN系列智能化輻射探頭均可和REN300、REN300A、REN300B系列主機配套使用,也可以單獨配套RenRiArea輻射區域監測軟件使用。且具有RS485/RS232的通訊能力。所有探頭均可單獨外接報警燈,在超閾值的情況下就地給出聲光報警。 1、測量射線類型:X、γ射線2、探測器:Φ30×
產品名稱: REN-GM-L型GM管中量程射線探頭
產品描述: REN系列智能化輻射探頭均可和REN300、REN300A、REN300B系列主機配套使用,也可以單獨配套RenRiArea輻射區域監測軟件使用。且具有RS485/RS232的通訊能力。所有探頭均可單獨外接報警燈,在超閾值的情況下就地給出聲光報警。 1、測量射線類型:X、γ射線2、探測器:GM管探
產品名稱: RenRiArea區域輻射監測系統
產品描述: 為了加強對放射源和射線裝置安全運行的監督管理,保障人體健康、保護環境,根據輻射防護三原則與國家相關標準的要求,考慮人為操作失誤、射線裝置和放射源意外故障等原因可能引發的放射性危害,有必要建設一套在線xγ射線監測報警系統。 在線式xγ射線監測報警系統通過計算機遠程集中監測,完成對放射性

,輻射巡測儀,輻射儀,輻射巡檢儀,輻射檢測儀,輻射劑量儀
上海仁日輻射防護設備有限公司(Shanghai Renri Radiation Protection Equipment Co., Ltd.) 上海仁日科貿有限公司 版權所有
電話:021-69515711 手機:13818065015 傳真:021-69515712 Email:market@renri.com.cn
QQ:1993509414 地址:上海市曹安路1509號福瑞大廈516室 郵編:201824
滬ICP備09065761號-2
滬公網安備 31011402001958號